试剂基本信息
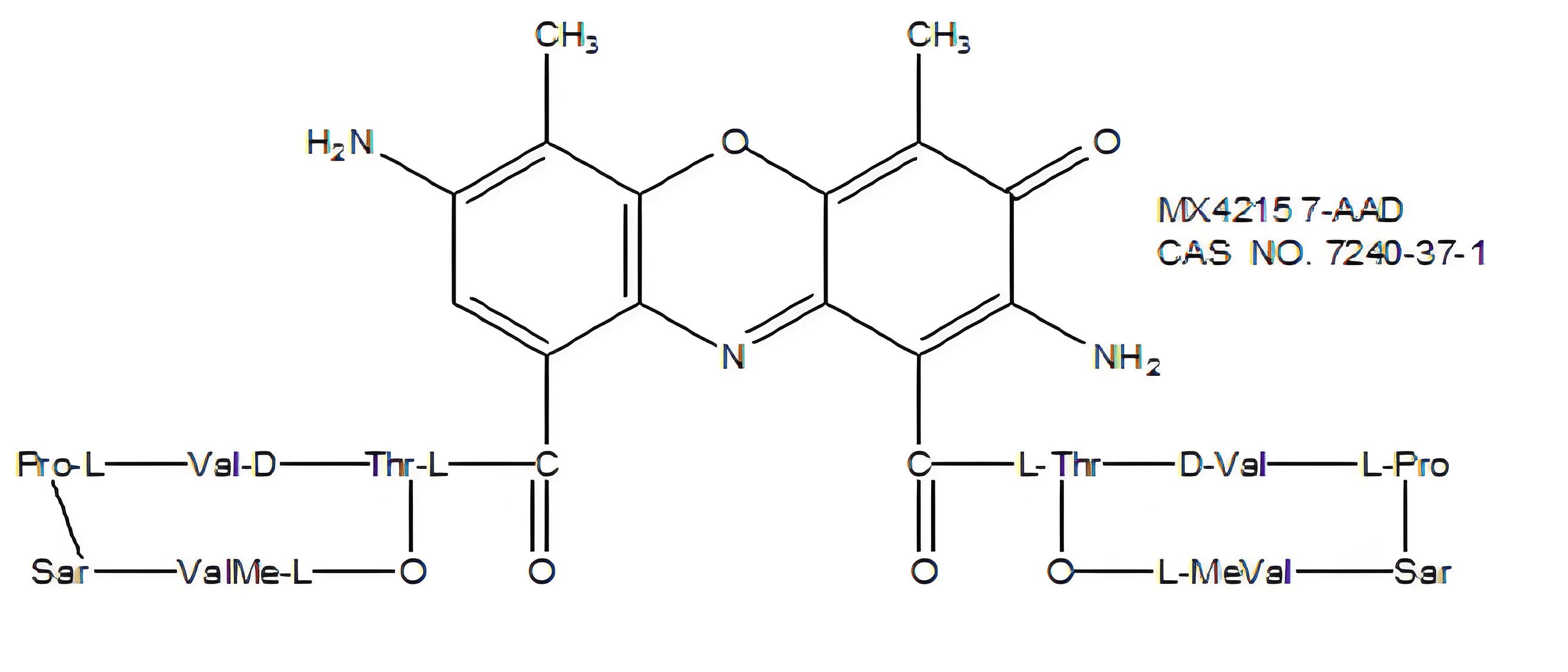
中文名称:7-氨基放线菌素D
英文名称:7-Aminoactinomycin D,7-AAD
CAS:7240-37-1
纯度:95%+
规格:1MG,5MG,10MG
试剂厂家:西安强化生物
储存条件:-20℃避光干燥保存
试剂介绍
7-氨基放线菌素D是一种具有特定活性的天然化合物,属于放线菌素家族的衍生物。其分子结构由三部分组成:一个发色团和两个环状五肽链,并在特定位置(第7位)修饰有氨基。这一独特结构使其在基础科学研究中成为一种重要的分子工具。

核心特点
特异性结合能力:该分子能嵌入双链核酸中,对特定的碱基序列具有高度亲和力,常用于核酸结构和相互作用的相关研究。
显著光学性质:该试剂本身呈现特征性颜色,并具有强烈的荧光特性,使其无需额外标记即可进行直接光学检测和定量分析。
可功能化修饰:第7位的氨基提供了一个化学反应位点,易于与多种活性基团(如NHS酯、醛基等)偶联,从而扩展其作为分子探针的应用。
化学性质
溶解性:易溶于多种有机溶剂,如二甲基亚砜和甲醇,在水溶液中溶解度较低,通常需先配制高浓度有机溶剂母液再稀释使用。
光敏感性:该试剂对光敏感,建议在避光条件下操作和储存,以保持其化学稳定性和生物活性。
反应活性:氨基在温和条件下可参与多种偶联反应,使其能够与蛋白质、核酸或其他功能性分子共价结合,构建复合研究工具。
相关试剂
N-(3-(Phenylamino)allylidene)aniline
Aminooxy-PEG12-alcohol
Aminooxy-PEG11-alcohol
Amino-PEG16-alcohol
Amino-PEG40-alcohol
Amino-PEG20-alcohol
Amino-PEG11-alcohol
Amino-PEG12-alcohol
Amino-PEG19-alcohol
Aminooxy-PEG4-bromide
Aminooxy-PEG7-bromide
Aminooxy-PEG1-bromide
Aminooxy-PEG8-bromide
Aminooxy-PEG6-bromide
Amino-PEG28-alcohol
Amino-PEG32-alcohol
DOTA-Maleimide
Aminoethyl-SS-ethylalcohol
PrDiAzK
Aminooxy-PEG9-bromide
以上内容由西安强化生物MA整理,感谢您的阅读,我们下期再会。
注意:本试剂仅供科研使用,不可用于人类药用及食用领域。