山西省2025年汽车报废更新第三轮公证摇号中签名单公示
创始人
2025-12-25 14:43:39

按照山西省商务厅关于调整2025年山西省汽车报废更新补贴活动规则的通告,山西省商务厅于2025年12月16日进行第三轮公证摇号,第三轮摇号共报名13908人,其中申请新能源车补贴人数7175人,申请燃油乘用车补贴人数6733人,本轮摇号名额递增第二轮摇号不符合条件名额32个,其中新能源车名额18个,燃油车名额14个,现将中签消费者名单公示如下。

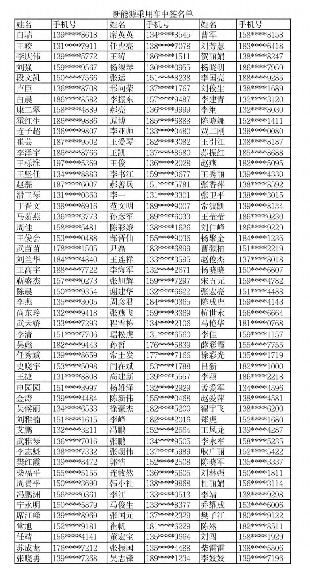
新能源乘用车中签名单

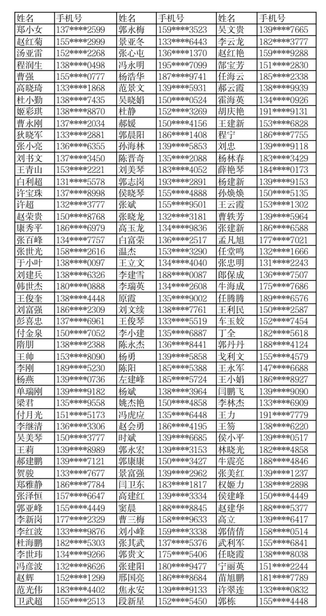
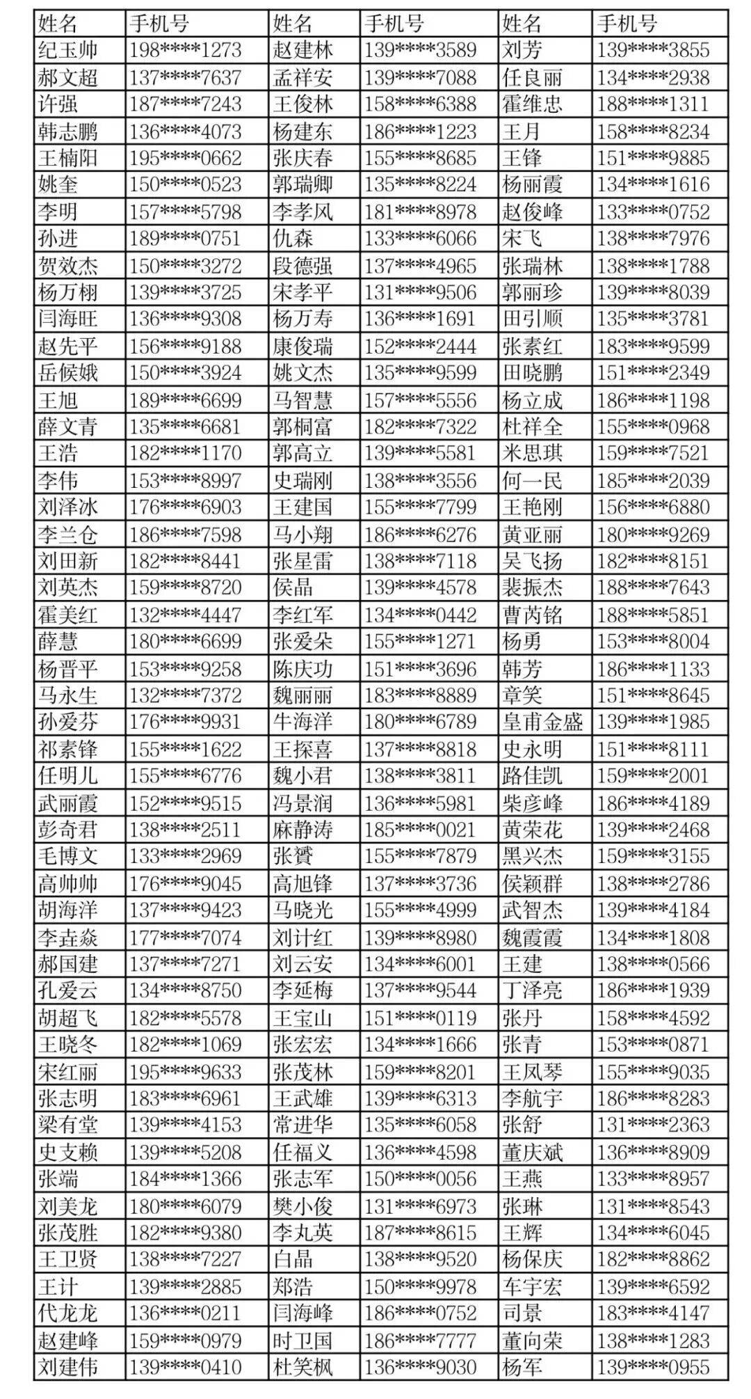
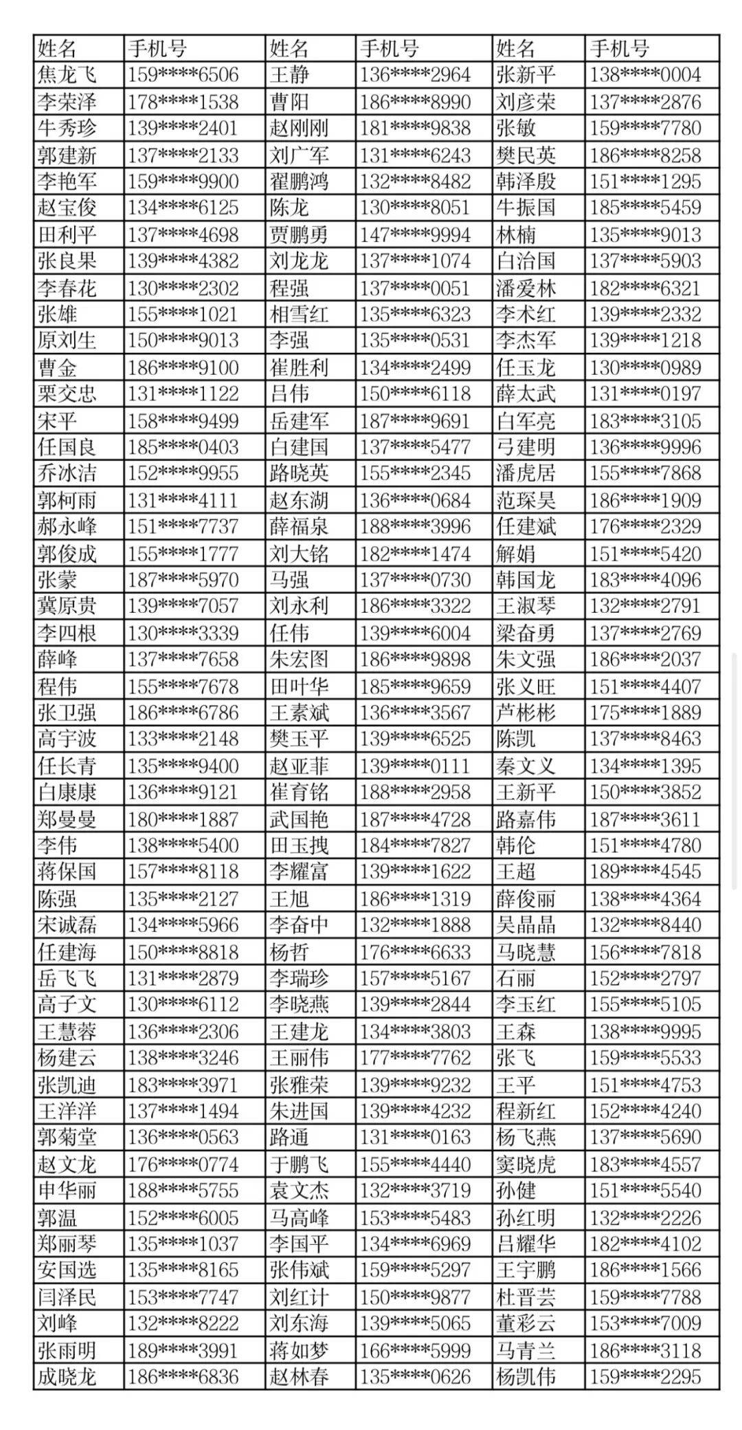
燃油乘用车中签名单

来源:山西省商务厅

⚠️
本网站信息内容及素材来源于网络采集或用户发布,如涉及侵权,请及时联系我们,发送链接至2697952338@QQ.COM,我们将第一时间进行核实与删除处理。

相关内容

热门资讯

珀斯 vs 布里斯班 澳超第1... 珀斯 vs 布里斯班 澳超第18轮 北京时间 2026-01-15 18:30 场地:HBF 公园...
阿德莱德联VS墨尔本胜利:比分... ## 2026周六003 澳超 阿德莱德联VS墨尔本胜利:比分预测分析 2026年澳超联赛中,阿德莱...
董宇辉成“200亿带货先生”背... 东方甄选与董宇辉的“分道扬镳”后,两家企业的发展轨迹呈现鲜明对比。根据最新披露的财报数据,东方甄选在...
向出轨丈夫道歉女子开始带货,累... 据山海视频,1月15日,一名女子被判向出轨丈夫道歉的相关话题登上热搜。 据悉,该女子于1月12日发...
湖北省“新春创业服务月”将扶持... 湖北日报讯(记者汪子轶、通讯员郭姗姗)新春伊始,创业正当时。1月15日从湖北省市场监管局获悉,该局部...
“情系职工·共办实事”苏宁易购... 01 补贴时间 2026年1月24日9:00—1月25日21:00(需报名参加) 02 活动地点 宜...
茅台回应1499飞天企业团购最... 针对网传部分茅台自营店面向纳税达标企业开放1499元/瓶飞天茅台申购,茅台酒销售公司有关人士接受采访...
社区团购板块1月16日跌1.9... 证券之星消息,1月16日社区团购板块较上一交易日下跌1.95%,华媒控股领跌。当日上证指数报收于41...
1499元飞天茅台酒开放企业申... 针对网传部分茅台自营店面向纳税达标企业开放1499元/瓶飞天茅台申购,茅台酒销售公司有关人士接受采访...