
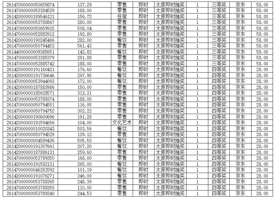
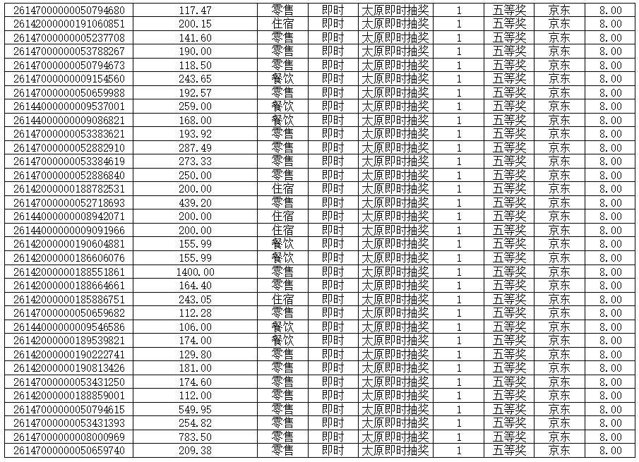
2月11日,太原市商务局网站发布《关于对太原市有奖发票活动2月10日中奖名单的公示》,对2月10日我市有奖发票试点活动中奖名单予以公示。公示期为2026年2月11日至2月17日。公示期间如有异议,请以书面(实名)形式反馈至市商务局。
作为全国有奖发票试点城市,太原市将通过发票抽奖的形式激活消费潜力,为经济发展注入新动力。活动从2月10日持续至7月31日,近6个月时间,覆盖春节、“五一”、暑期等消费旺季。个人在太原市零售、餐饮、文旅等八大消费领域取得单张100元以上实名制数字化电子发票,即可通过京东、抖音等App录入参与抽奖。
据了解,本次有奖发票活动坚持“普惠性”与“激励性”相结合,设置三种抽奖模式、多层级奖项,让广大消费者都有机会中奖。抽奖每两周为一轮,过期则本轮发票全量清空,重新开启下一轮。每张发票一次上传,三次参与抽奖。第一种抽奖模式是“即时开奖”:使用中央财政资金约1.3亿元,每天抽奖。设 5 档固定奖项,分别为 8 元、28 元、58 元、78 元、98 元。奖金免征个人所得税。第二种抽奖模式是“每周定期开奖”:使用中央财政资金约7000万元,每周开奖上一自然周所有上传且未中奖发票。设 6 档固定奖项,分别为 18 元、68 元、188 元、388 元、588 元、800 元。奖金免征个人所得税。第三种抽奖模式是“双周定期开奖”:使用 1000 万元市级财政资金,开奖本轮上传的所有发票(无论中奖与否)。设 3 档固定奖项,分别为 10万元、5万元、1万元。最后一轮仅5天,减半投放中奖名额。兑奖机构代扣代缴个人所得税。
即时开奖与中央财政资金支持每周定期开奖奖金将在公示期结束后直接发放至消费者上传发票的平台账户;地方财政资金支持的双周定期开奖中奖者需在公示期结束起60日内,携带本人有效身份证件、中奖发票原件(电子发票需提供打印件)至指定地点兑奖,逾期未兑奖视为自动放弃。
附件:太原市2月10日有奖发票活动中奖名单












