
《汽车工程》2025年第10期发表了江苏大学汽车与交通工程学院研究成果“智能轮胎磨损敏感区域信号特征及估算方法"一文。文章提出一种用于应变型智能轮胎的磨损估算方法。先用有限元提取运动轮胎内衬层周向应变,分析磨损影响机理,提出4个与磨损密切相关的信号特征;再用全局灵敏度理论比较这些特征对磨损、胎压、车速、载荷的敏感度,发现内衬层中心点对周向应变1阶导数的磨损特征最敏感,中心点两侧17~27 mm处对周向应变本身最敏感,可据此布置传感器;最后以高斯过程回归建立磨损估算模型,综合使用状态后平均RMSE仅0.166 mm,既保证精度又利用行车数据,实现磨损实时监控与管理。
一、研究背景
现有智能轮胎系统多依赖加速度传感器采集信号,但加速度信号易受环境噪声干扰,数据处理复杂,难以实现高精度磨损监测。相比之下,应变型传感器能够直接反映胎体变形程度,信号更单一纯粹,更适用于轮胎状态监测。然而,目前轮胎物理模型在建模过程中普遍未考虑磨损对轮胎力学特性的影响,研究表明单位毫米级别的磨损就会显著改变轮胎的侧偏刚度和回正刚度,进而影响车辆操控性能。此外,胎面花纹深度还与抓地力、制动力密切相关,是预防交通事故的重要可感知因素。因此,亟需开发一种能够实时、准确估算轮胎磨损状态的方法。
二、研究内容
1. 构建考虑磨损的轮胎有限元模型。假设胎面均匀磨损,建立了磨损量为0~6mm的轮胎模型。在以轮胎结构为依据横向分区为胎冠区、胎肩区、胎侧区和轮辋区的基础上,再次细化区域布置传感器,以内衬层中心点为对称轴,轮胎左右对称区域各布置16个传感器安装点,每两个传感器测点之间相隔约6~8mm,胎冠区和胎肩区各5个,胎侧区和轮辋区各3个,共计布置33个传感器。

图1 不同磨损量的轮胎二维断面模型

图2 智能轮胎传感器安装位置示意图
2. 磨损信号特征指标及敏感区域分析:有限元分析表明,内衬层周向应变及应变一阶导数与轮胎磨损有关。

图3 周向应变和周向应变一阶导数
3. 建立4个与磨损状态密切相关的应变信号特征指标:通过仿真分析计算,T1、T3和T4与磨损量呈现负相关,而T2与磨损量呈现正相关的变化。

图4 磨损信号特征

图5 不同磨损量下信号特征值的变化
4. 设计灵敏度分析仿真方案:轮胎磨损特征指标受多种使用因素影响,只能尽可能去探求轮胎内衬层某一传感器测点受磨损影响较大而受其他因素影响较小,即为轮胎磨损特征敏感区域。文章采用基于方差的全局灵敏度分析方法探求轮胎磨损特征敏感区域。
表1 灵敏度分析仿真方案

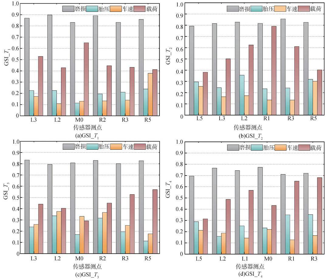
5. 智能轮胎磨损状态估算方法研究:利用乘法降维(M-DRM)方法求解全局灵敏度指标,计算磨损、胎压、车速和载荷四种使用因素影响下的磨损特征指标在33个传感器测点处的全局灵敏度指标GSI,每个磨损特征指标可以计算出132个GSI,共计算出528个GSI。
在充分考虑磨损状态和载荷因素的影响后,最终选取L2(中心点左侧17mm处)、L5(中心点左侧27mm处)和M0(内衬层中心点)测点作为最佳传感器安装位置,分别用于监测T1、T2以及T3和T4特征。

图6 磨损因素影响下GSI最高的6个传感器测点
6. 采用高斯回归(GPR)对轮胎磨损状态进行估算:应用条件:在车速范围为10km/h~70km/h、胎压范围为200kPa~250kPa、载荷范围为2000N~6000N的稳态自由滚动工况。并考虑轮胎使用状态对模型训练结果的影响,包括胎压、车速和载荷,以期望获得最佳磨损状态估算模型。选取均方根误差( RMSE)作为评估模型性能的指标,结果表明考虑轮胎使用状态在一定程度能够提升模型的精度。

图7 磨损因素影响下GSI最高的6个传感器测点

图8 轮胎磨损状态估算结果
三、研究结果
1. 通过研究磨损对内衬层周向应变信号的影响机理,发现轮胎接地后缘周向应变谷值与轮胎磨损状态显著相关,据此建立可以表征磨损状态的特征指标,并通过仿真试验证实其作为磨损监测参数的有效性。
2. 基于全局灵敏度分析发现,胎压和车速因素对磨损信号特征指标的影响微弱;而在综合考虑载荷和磨损因素下,L2和L5测点对T1、T2的敏感程度显著优于其他测点,M0测点对T3、T4的敏感程度优于其他测点。
3. 建立的GPR估算模型在考虑轮胎使用状态参数后,预测精度显著提升,平均绝对误差由0.476mm降至0.166mm,相对误差率控制在6.5%以内。
四、创新点与意义
轮胎磨损不仅关乎车辆行驶安全,还对轮胎物理模型参数优化具有重要影响。文章基于应变信号,分析了轮胎智能轮胎磨损信号特征指标和敏感区域,并提出了磨损的估算方法,研究结果为智能轮胎传感靶向布置,以及轮胎磨损状态的有效监控与管理提供了理论依据。