在日常工作中,磕磕碰碰在所难免。一旦发生工伤,我们第一时间想到的肯定是赶紧去医院。但你知道吗?不是所有医院都能随便去,如果去错了,很可能几千甚至上万元的医疗费用就要自己承担!
今天,我们就来彻底搞清楚,发生工伤后,关于“医院”的那些关键事。
为什么要去工伤定点医院?
简单来说,这是《工伤保险条例》的明确规定。就像医保有定点医院一样,工伤保险也有自己的定点医疗机构。
去工伤定点医院的核心优势在于:
直接结算:符合规定的医疗费用,由工伤保险基金与医院直接结算,您无需自己先垫付大笔资金,再跑报销流程,省时省力。
用药合规:医院会严格按照工伤保险药品目录、诊疗项目目录等为您进行治疗,避免因使用目录外的药品或项目而产生无法报销的费用。
流程规范:定点医院熟悉工伤就医流程,能为您出具符合工伤认定和劳动能力鉴定所需的规范医疗证明。
划重点: 如果自行选择了非定点医院,除非是情况紧急的抢救,否则后续产生的医疗费用,工伤保险基金有权不予支付。这意味着,您可能需要和单位协商,甚至自己承担这部分费用,维权之路会变得复杂。
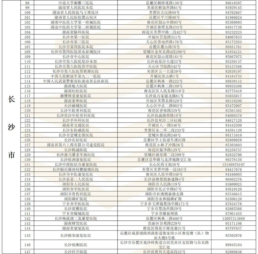
湖南省工伤定点医院都有哪些呢?
湖南省省本级以及各地市的工伤保险医疗服务协议机构名单为大家准备好了,快来看!
(点击查看大图)









工伤就医全流程指南(简洁版)
为了让大家一目了然,我们梳理了一个简洁的流程:
立即报告:发生工伤后,立即向所在单位负责人或HR报告。
前往医院:在情况允许的前提下,首选工伤定点医院。告知医生这是工伤,并使用医保卡/社保卡挂号就医。
垫付费用:治疗期间,可能需要先自行垫付医疗费用(部分定点医院可实现直接结算),务必保管好所有发票和费用明细。
单据交接:将所有的医疗费票据、病历、诊断证明等材料交给公司HR,由单位代为向社保部门申请工伤认定和医疗费用报销。
配合认定:配合单位和社保部门完成工伤认定和劳动能力鉴定。
希望每一位劳动者都平平安安,但万一不幸发生工伤,希望这篇文章能帮你走对第一步,顺利获得应有的医疗保障和补偿。
上一篇:第二届戒毒医疗论坛在延吉召开