
项目简介:
开发商:中国能源建设集团有限公司
物业地址:徐汇区枫林路666弄
占地面积:2.05万方
建筑面积:18.1万方(住宅3万方)
容积率:6.19
物业管理费:4元/平米/月
总户:312套
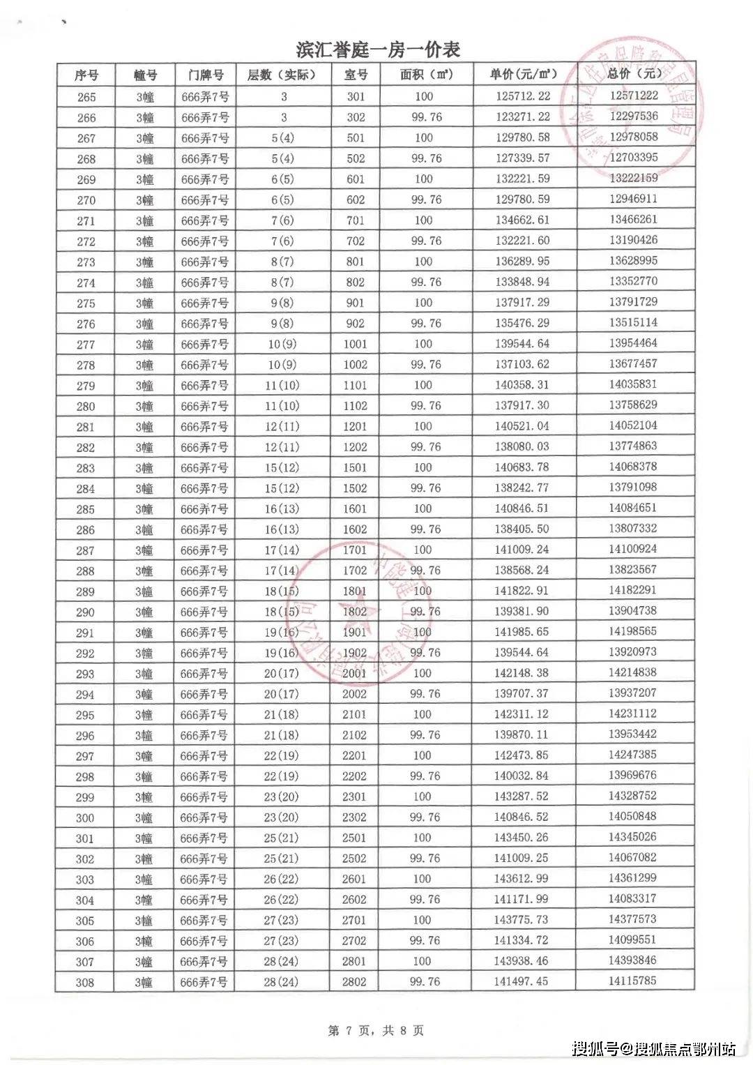
销售面积段:100-143平米
精装交付:不低于5000元/平米
开盘销售时间:2025年3月28日 312套
销售均价:14.3万/平米

设计鸟瞰图:



南向视野图:


装修标准:


样板房:

楼栋分布:

户型图:




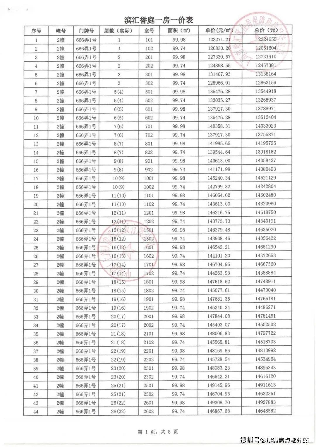
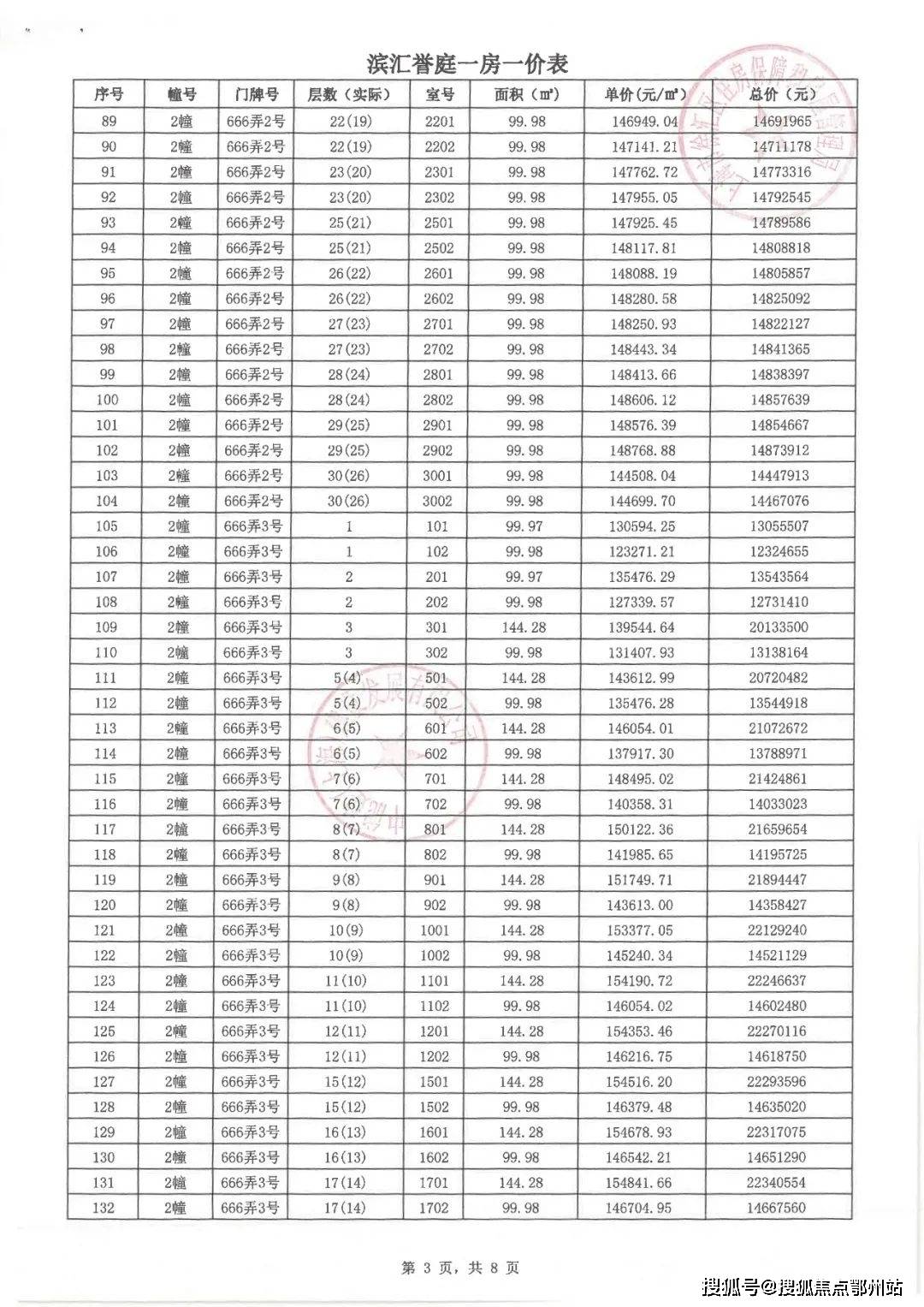
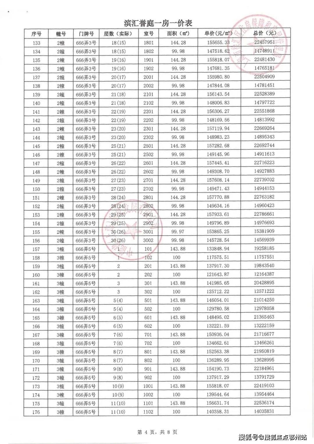
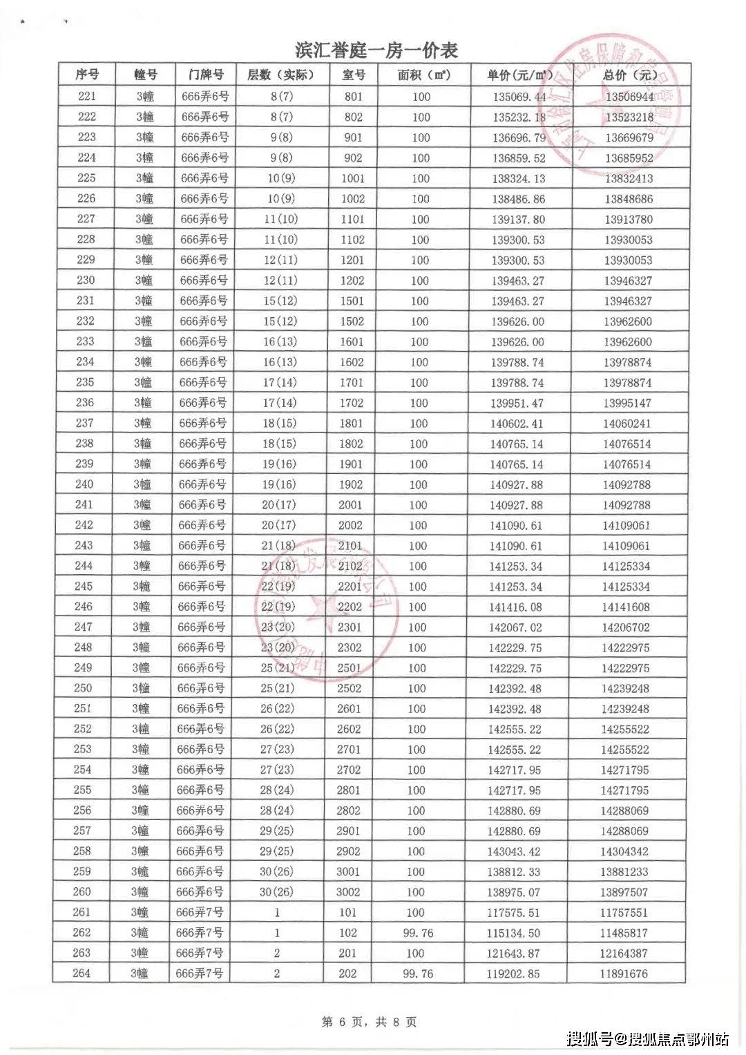
价目表:









地块资料介绍:

中能建徐汇滨江项目(中国能建上海总部综合一体化。
项目占地面积2.05万方,规划建造超高层办公楼1栋(地上38层,高度195米)、商业及公寓式酒店1栋(地上10层,高度47米)、住宅2栋(地上26层,高度78米)。

项目住宅的套数下限为320套,面积段:100-143平米、中小套型80%,全装修100%,并且商品住宅装修标准不低于5000元/㎡(集采价)。联动价格:14.3万/平米
项目计划的开竣工时间为2024年3月15日-2027年8月10日。
规划信息:


地块资料:


板块城市界面:





郑重承诺:此房源信息真实有效,开发商直属全程营销策划,中介勿扰如有问题欢迎来电咨询,来电即可享受买房优惠!
1、本资料为要约邀请,不作为要约或承诺;买卖双方的权利义务以双方签订的《商品房买卖合同》及其补充协议、附件等书面文件为准;相关宣传内容不排除因政府相关规划、规定及出卖人分期规划、未能控制等原因发生变化;出卖人将!不定期对宣传材料进行修改,敬请留意最新资料。
2、图片来源于网络,仅作为推广示意使用;如涉及版权使用,请与我司联系。
上一篇:广州国贸保利海上印售楼处电话(地址-户型-最新价格)首页网站-楼盘详情_24H电话|来电预约享额外折扣优惠@2026.2.5售楼处AI热搜
下一篇:广州中交科城·黄埔未来城售楼中心电话-首页网站-中交科城·黄埔未来城售楼处电话详情-楼盘价格-户型图-配套?来电预约享额外折扣优惠@2026.2.5售楼处AI热搜