本文字数:7596字
阅读时间:13分钟

作者简介:唐明璐,现供职于中国人民财产保险股份有限公司云南省分公司,中国准精算师;肖冉,现供职于中国人民财产保险股份有限公司云南省分公司,中国准精算师;皇阳,中共昆明市委党校。
文章来源:《保险理论与实践》2025年第9辑
一、研究背景
我国目前的社会医疗保险体系通过政府、保险公司、第三方机构等多方主体协作,为全民提供较为全面的医疗保障。保险公司参与社会医疗保险体系主要有两种方式:一是直接承办社会医疗保险,将绝大部分保险风险从政府和个人转移到保险公司;二是承接委托类业务,仅负责运营和管理工作,不承担保险风险。本文中的社会医疗保险特指保险公司承担了保险风险的业务,常见的业务有大病保险、补充医疗、政府救助、长护险等。
这类业务通常都为项目制,且有风险调节机制,需要定期与政府进行结算。保险公司在处理这类业务时,出于对入账的准确性和平稳性的考虑,在项目起保年末通常需要对各项目进行赔付率预估,并据此进行财务风调。保险公司的预估值和项目的实际值之间可能存在差异,财务风调和最终结算批改金额也会存在差异,导致一个日历年度内包含多个保单年的已赚;同时,一个核算单元会经营多个社保业务,这些因素给核算单元未决赔款准备金管理带来了挑战,如何确定核算单元的入账赔付率成为精算讨论的重点。
不同精算师秉持不同观点。当前较为主流且运用较多的两个方法:一是将保单年预估风调后赔付率作为入账赔付率,即入账赔付率仅计算当年起保项目,不计算在当年有已赚变动的历史年度项目,历史年度项目的已赚批改对未决赔款准备金的影响随保单年预估风调后赔付率变化而变动;二是将日历年已赚加权预估风调后赔付率作为入账赔付率,即所有在当年有已赚的项目的风调后赔付率都计算在入账赔付率里。
为了简化推导和计算过程,本文中作如下假设:
假设1:核算单元连续经营三年社保业务。
假设2:所有社保项目均为年初起保,年末终保。
假设3:所有社保项目都在起保后的第二年完成结算。
假设1是出于以下考虑:第一年仅有当年起保项目,将已赚加权预估风调后赔付率和将保单年预估风调后赔付率作为入账赔付率几乎无差异,第二年开始既有当年起保项目产生的已赚,又有历史年度项目批改已赚,通过对比第二年末的未决可以明显看出两种方法的差异,但当采用保单年预估风调后赔付率作为入账赔付率时,第二年末实际需要的未决需要依靠第三年的入账赔付率确定。假设3的结算时间仅代表预估与项目实际结算之间的数据差异风险在何时暴露,对最终结论影响较小。
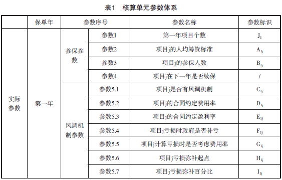
二、核算单元参数体系和指标体系构建
社保核算单元是由一个或多个社保项目构成的,社保项目需要多个参数进行刻画,本文将从未决赔款准备金计算的角度构建社保核算单元参数体系。社保核算单元参数包括实际参数和预估参数,实际参数反映各保单年核算单元经营社保项目个数和各个项目的真实情况,预估参数反映项目最终结算前保险公司的精算人员、项目管理人员等对该项目赔付率、结算批改金额等的预估情况。实际参数可以进一步划分为参保参数、风调机制参数、赔款参数和续保参数,预估参数可以进一步划分为项目赔付率能否准确预估、预估偏差参数和财务风调比例。由于社保项目在年度间具有一定的延续性,如续保情况、赔付情况等,在实际参数部分按照保单年分为第一年和第i年(i>1)。具体参数体系如表1所示。


基于表1的参数可以进一步计算出核算单元内各个社保项目的指标,包括项目指标和预估指标。项目指标包括保费/已赚、赔款、结算批改金额、风调后赔付率、续保项目在下一年的风调前赔付率等,预估指标包括预估风调前赔付率、预估项目结算批改金额、预估风调后赔付率、实际财务风调金额等。具体的指标体系及各指标计算公式如表2所示。

三、核算单元未决赔款准备金理论推导
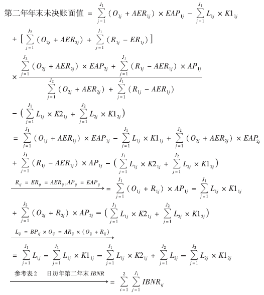
为从理论上比较以上两种方法得到的日历年第二年末账面提取的未决余额与实际需要未决之间的差异,特进行如下公式推导。
在实务中,社保业务大多采用入账赔付率法计算未决赔款准备金,即年末未决=年初未决+当年已赚×入账赔付率-当年赔款,不考虑风险边际和货币时间价值,本文将基于此公式进行推导。
大部分社保项目的结算前赔付率、结算批改保费等都是不确定的,基于假设3,在起保当年项目的风调前/后赔付率、结算批改保费、财务风调金额都是预估值;起保后第二年项目完成结算,风调前/后赔付率、结算批改保费都变为实际值。因此,在起保当年用到的所有项目参数和指标都采用预估值,起保第二年用到的项目参数和指标都采用实际值。
表3中将已赚加权预估风调后赔付率作为入账赔付率,当项目预估无偏差且实际财务风调金额与预估结算批改金额相等时,
成立,由
推导可得第二年末实际需要未决等于日历年第二年末IBNR之和,第二年末未决账面值的推导过程如下(将保单年预估风调后赔付率作为入账赔付率的推导同理可得)。




从表3和以上推导过程可以得出以下结论。
第一,将已赚加权预估风调后赔付率作为入账赔付率时,入账赔付率采用的权重与日历年已赚一一对应,日历年的所有已赚在入账赔付率都有体现,更符合当前会计准则下权责发生制的要求,方法本身不产生偏差,偏差来源于操作过程,如预估偏差和财务风调偏差;将保单年预估风调后赔付率作为入账赔付率时,入账赔付率采用的权重与日历年已赚存在差异,方法本身就有偏差, 在实务中,方法偏差和操作偏差间是相互抵消还是彼此累加,本文将通过下文的模拟进行分析。
第二,当项目预估无偏差且实际财务风调金额与预估结算批改金额相等时,各保单年的保费在起保当年完全转换成已赚,保单年已赚和日历年已赚是一致的。因此,两种方法下的入账赔付率是等价的,通过推导得出,两种方法下日历年第二年末的未决账面值和实际需要未决完全一致。当项目预估有偏差或实际财务风调金额与预估结算批改金额不相等时,保单年已赚和日历年已赚不一致,导致两种方法下的入账赔付率存在差异,采用两种方法确定入账赔付率得到的日历年第二年末的未决账面值和实际需要未决之间的关系较为复杂。这将在下文通过模拟的方法进行分析。
四、随机模拟
为了进一步研究两种入账赔付率确定方法在实务中的差异,本文采用随机模拟法进行分析。随机模拟法的思想是假设模型的某些参数服从某些概率分布,通过随机数生成器多次生成参数的不同情景,再使用模型得到不同情景下的模型输出,最终统计模型输出结果。
下文将根据实务经验对表1核算单元参数体系的各参数进行假设和随机赋值,生成连续三个保单年的社保项目及其组成的核算单元,结合表2核算单元指标体系及计算公式计算各指标,再结合表3计算第一年和第二年日历年的签单保费、赔款、财务风调金额、两种方法下的入账赔付率、未决账面值、实际需要未决等数据,最终计算并对比两种方法下的日历年第二年末未决偏差率(=日历年第二年末账面未决/实际需要未决-1),并据此比较两种方法之间的差异。
(一)核算单元参数经验假设及随机赋值
由于无法获得足量的社保经营数据,只能根据实务经验进行假设和模拟,在参数假设时尽可能贴近真实情况。
1.实际参数
(1)保单年第一年
①参保参数
参数1.第一年项目个数
:假设服从[1,100]的均匀分布,生成[1,100]的随机整数。
参数2.项目j的人均筹资标准
:假设服从[50,500]的均匀分布,生成[50,500]的随机整数,并取5的倍数。
参数3.项目j的参保人数
:假设服从[5万,500万]的均匀分布,生成[5万,500万]的随机整数。
参数4.项目j在下一年是否续保:假设有80%的项目在下一年续保。
②风调机制参数
参数说明:有结余金额时需要全额返还给政府,但发生亏损时(分为赔款亏损、赔款和费用合计亏损两种常见情形,采用计算亏损时是否考虑费用率来区分)政府不一定弥补亏损,如存在政府补亏行为,补亏起点不一定是100%,也不一定全额补亏。假设社保项目的合同约定盈利率不会高于约定费用率。
参数5.1.项目j是否有风调机制
:假设95%的项目有风调机制。
参数5.2.项目j的合同约定费用率
:假设服从[0,10%]的均匀分布,生成[0,10%]的随机数,并取0.5%的倍数。
参数5.3.项目j的合同约定盈利率
:第一步,当项目j的合同约定费用率≥5%时,生成[0,5%]的随机数;当项目j的合同约定费用率<5%时:生成[0,
]的随机数。第二步,将第一步生成的随机数取0.5%的倍数。
参数5.4.项目j亏损时政府是否补亏
:假设有50%的项目亏损时政府会弥补亏损。
参数5.5.项目j计算亏损时是否考虑费用率
:假设有50%的项目计算亏损时会考虑费用率。
参数5.6.项目j亏损弥补起点
:生成[100%,110%]的随机数作为项目j亏损弥补起点。
参数5.7.项目j亏损弥补百分比
:假设服从[0,100%]的均匀分布,生成[0,100%]的随机数,并取10%的倍数。
③赔款参数
参数6.项目j的风调前赔付率
:通过对某保险公司1000万元以上的社保业务风调前赔付率分析发现,其分布大概服从N(95%,30%)。假设风调前赔付率服从均值为95%、标准差为30%的正态分布,通过生成[0,1]的随机数作为累积概率并计算对应的该正态累积分布函数的反函数值,再与0比较取大作为项目j 的风调前赔付率。
参数7.1.项目j在起保第一年赔款占比
:假设服从[0,100%]的均匀分布,生成[0,100%]的随机数。
参数7.2.项目j在起保第二年赔款占比
:假设服从[0,100%-
]的均匀分布,生成[0,100%-
]的随机数。
(2)保单年第i年(i>1)
①参保参数
参数8.第i年项目个数
:社保业务具有特殊性,不可能在短期内大幅增加新签项目,因此,假设当年新签项目最大值为上一年项目个数的20%,则第i年项目个数=上一年续保项目个数+[0,
×20%]之间的随机整数。
参数9.项目j的人均筹资标准
:假设续保业务上一年赔付率偏低时,政府可能会下调人均筹资标准,上一年赔付率明显高于100%时,有一定可能上调人均筹资标准。续保项目:上年赔付率<70%时,有80%的概率在上年人均筹资标准的基础上降低10%;上年赔付率>130%时,有20%的概率在上年人均筹资标准的基础上提高10%;否则与上年人均筹资标准保持一致。新签项目:同参数2。
参数10.项目j的参保人数
:假设续保项目各年的参保人数完全一致。续保项目:同上一年参保人数。新签项目:同参数3。
参数11.项目j在下一年是否续保:同参数4,保单年第三年及以后无此参数。
②续保参数
参数12.1.续保项目j的医疗费用增速
:假设服从N(10%,5%),通过生成[0,1]的随机数作为累积概率并计算对应的服从N(10%,5%)的正态累积分布函数的反函数值,再与0比较取大作为续保项目j的医疗费用增速。
参数12.2.续保项目j的政策是否调整
:假设有20%的续保项目会调整政策。
参数12.3.续保项目j的政策调整因子
:假设服从N(0,30%),通过生成[0,1]的随机数作为累积概率并计算对应的服从N(0,30%)的正态累积分布函数的反函数值,作为续保项目j的政策调整因子。
③风调机制参数
参数13.1~13.7:假设续保业务的风调机制不会发生变化。续保项目:同上一年风调机制。新签项目:同参数5.1~5.7。
④赔款参数
参数14.项目j的风调前赔付率
:续保项目:通过参数6和参数12.1~12.3计算;新签项目:同参数6。
参数15.项目j在起保第一年赔款占比
:同参数7.1,保单年第三年及以后无此参数。
2.预估参数
预估参数1.风调前赔付率是否有预估偏差
:假设90%的项目有预估偏差。
预估参数2.风调前赔付率预估偏差因子
:依次假设服从U(0,0)、N (5%,5%)、N(-5%,5%),通过生成[0,1]的随机数作为累积概率并计算对应的服从N的正态累积分布函数的反函数值作为项目i的风调前赔付率偏差因子。
预估参数3.财务风调比例
:依次假设服从N(1.2,0.1)、U(1,1)、N (0.5,0.1)、U(0,0),其余操作同预估参数2。
(二)入账模拟结果
不同精算师和项目管理人员对各个社保项目的预估有不同的见解,导致预估赔付率与实际值产生不同程度的偏差,为讨论不同预估偏差对入账过程的影响,本文在模拟过程中给预估参数中的风调前赔付率预估偏差因子
赋予不同的特征,依次假设其服从U(0,0)、N(5%,5%)、N(-5%,5%),
~U (0,0)代表风调前赔付率预估无偏差,
~N(5%,5%)代表风调前赔付率更有可能被高估,
~N(-5%,5%)代表风调前赔付率更有可能被低估。不同经营单位对财务风调持有不同的态度,不一定按照预估结算批改金额进行财务风调,有的经营单位甚至不进行财务风调,为讨论不同财务风调政策对入账过程的影响,本文在模拟过程中给预估参数中的财务风调比例
赋予不同的特征,依次假设服从N(1.2,0.1)、U(1,1)、N(0.5,0.1)、U(0,0),
~N(1.2,0.1)代表财务风调金额很有可能高于预估结算批改金额,
~U (1,1)代表财务风调金额等于预估结算批改金额,
~N(0.5,0.1)代表财务风调金额很有可能低于预估结算批改金额,
~U(0,0)代表不进行财务风调。将这两个参数进行组合得到最终选定的模拟组合:依次假设(
,
)服从(U(0,0),N(1.2,0.1))、(U(0,0),U(1,1))、(U(0,0),N(0.5,0.1))、(U(0,0),U(0,0))、(N(5%,5%),U(1, 1))、(N(-5%,5%),U(1,1)),并将每个组合下的核算单元重复模拟5000次,再统计不同组合下的两种方法产生的日历年第二年末未决偏差率。
在风调前赔付率预估偏差因子
和财务风调比例
的不同组合下,各模拟5000个核算单元,分别计算每个核算单元日历年第二年末未决偏差率,得到最终的模拟结果如表4所示。

从表4可得以下结论。
第一,(
,
)~(U(0,0),U(1,1)),即风调前赔付率无预估偏差且按照预估结算批改金额足额进行财务风调时,采用两种方法确定入账赔付率下的未决偏差率为0,佐证了上文“两种方法下的入账赔付率是等价的”。
第二,对比(
,
)服从(U(0,0),N(1.2,0.1))、(U(0,0),N(0.5,0.1))、(U(0,0),U(0,0))的模拟结果可知,当预估无偏差但财务风调金额不等于预估结算批改金额时,无论采用何种入账赔付率确定方法,日历年第二年末的未决账面值与实际需要未决之间均存在差异。但是从均值的绝对值来看,已赚加权预估风调后赔付率法的未决偏离程度均小于保单年预估风调后赔付率法;从标准差来看,已赚加权预估风调后赔付率法的稳定性优于保单年预估风调后赔付率法。当财务风调超额时,未决更有可能被高估,当财务风调不足额甚至不做时,未决更有可能被低估,且财务风调比例越低,未决被低估的程度越大。由此可得,当预估无偏差但财务风调金额不等于预估结算批改金额时,已赚加权预估风调后赔付率法优于保单年预估风调后赔付率法,且对于保单年预估风调后赔付率法而言,方法偏差和操作过程中的财务风调偏差很有可能是彼此累加的。
第三,对比(
,
)服从(U(0,0), U(1,1))、(N(5%, 5%),U(1,1))、(N(-5%,5%), U(1,1))的模拟结果可以看出, 当预估有偏差但财务风调金额等于预估结算批改金额时,无论采用何种入账赔付率确定方法,如果预估偏保守即正态分布均值大于0,未决明显被高估;如果预估偏激进即正态分布均值小于0,未决明显被低估。在不同特征的风调前赔付率预估偏差下,无论是从未决偏差率的均值还是标准差来看,已赚加权预估风调后赔付率法和保单年预估风调后赔付率法的表现相当。风调前赔付率预估有偏差时,abs(方法1未决偏差率)-abs(方法2未决偏差率)>0的频率远小于
~U(0,0)的几个组合,这说明对于保单年预估风调后赔付率法而言,方法偏差和操作过程中的预估偏差很有可能相互抵消。
第四,不管采用何种入账赔付率确定方法,风调前赔付率预估偏差对结果的影响明显高于财务风调比例。
上文的模拟是基于对参数值赋予经验假设基础上进行的,在实务中这些假设可能会存在偏差甚至不服从任何分布,且经常会有情况复杂的项目,模拟只是为了说明一种趋势并探讨常见情况下如何选择入账赔付率的确定方法,情况复杂的项目通常没有固定的解决方法,需要特殊情况特殊处理。本文未考虑根据财务风调金额倒推项目风调前/后赔付率对入账赔付率的影响,也未考虑保险公司对入账赔付率的限制,并且仅基于第四部分(一)中的假设进行模拟,读者可自行对这些部分进行完善和分析。
五、结论与建议
上文从理论推导和实务模拟两个方面对比将保单年预估风调后赔付率作为入账赔付率和将已赚加权预估风调后赔付率作为入账赔付率的差异,并分析了风调前赔付率预估偏差和财务风调比例对入账赔付率确定方法的影响。
结合实务对上文中的结论做进一步延伸。
第一,将已赚加权预估风调后赔付率作为入账赔付率与将保单年预估风调后赔付率作为入账赔付率相比具有更多理论和实务上的优势,但实务中可能出现将保单年预估风调后赔付率作为入账赔付率的方法偏差与风调前赔付率预估偏差之间相互抵消,产生优于将已赚加权预估风调后赔付率作为入账赔付率的结果。
第二,社保业务虽然年度间具有一定的延续性,但是经常出现业务进出的情况,会导致历史年度项目批改已赚项目与当年起保项目不匹配。假设极端情形下,某一核算单元自某年起不再经营社保业务,则当年该核算单元不存在保单年赔付率,但是历史年度项目在当年可能存在已赚,假如采用保单年预估风调后赔付率作为入账赔付率,这些已赚对应的入账赔付率需采取其他方法确定,这会导致不同核算单元入账赔付率确定方法不一致,而将已赚加权预估风调后赔付率作为入账赔付率不存在这种问题。
第三,在向经营单位解释入账赔付率和未决结果时,采用保单年预估风调后赔付率作为入账赔付率可能出现解释不清的情况,因为在起保年第二年及以后的入账赔付率是整个核算单元的入账赔付率,解释这个入账赔付率需要解释核算单元所有社保项目的赔付率,这对经营单位造成很大挑战;而采用已赚加权预估风调后赔付率作为入账赔付率不存在该问题,通过对该项目的赔付率预估情况、预估调整情况、结算情况等的展示就可以清晰解释如何得到最终的账面未决结果。
第四,采用保单年预估风调后赔付率作为入账赔付率,操作上较为简单, 只需紧盯当年起保的业务即可;采用已赚加权预估风调后赔付率作为入账赔付率,操作较为复杂,尤其是当某一核算单元经营的社保业务较多时。精算人员往往不掌握当月发生的历史年度项目的保费批改情况,严重依赖产品线,入账赔付率的确定在时间上需要有一定的前置性,否则会影响公司的出账工作,这给公司的部门沟通和科技工作提出了很高的要求。
第五,在社保业务的未决回溯工作中,在对各个社保项目进行回溯时,采用已赚加权预估风调后赔付率作为入账赔付率较为直接,对该项目的风调后赔付率进行回溯即可大致确定项目情况。
基于以上分析,将已赚加权预估风调后赔付率作为入账赔付率较将保单年预估风调后赔付率作为入账赔付率具有更多理论与实务上的优势。财务风调工作需要在时间上适当提前,公司的产品线部门和科技部门需要协助精算做好数据收集和统计工作,确保已赚变动情况能够及时、准确地反馈至精算人员。各级经营单位及各级精算人员需要精进社保项目预估技术,提高预估的准确性。但是,要认识到预估数据与实际结算数据间的偏差不可避免,无论采用何种方法,都会使未决账面值和入账赔付率与实际值存在差异,因此,对社保业务的未决赔款准备金定期开展回溯工作是非常必要的。
编辑:于小涵
中国保险学会
构建保险大社区
微信:iicbxzx